哈夫曼树

哈夫曼树(Huffman Tree)描述

哈夫曼树又称最优二叉树,是一种带权路径长度最短的二叉树。所谓树的带权路径长度,就是树中所有的叶子节点的权值乘上其到根节点的路径长度(若根节点为0层,叶节点到根节点的路径长度为叶节点的层数)。

在哈夫曼树中,权重越大的节点越接近根节点。

哈夫曼树相关术语

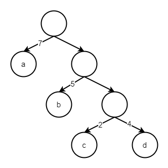
路径: 在一棵树中,从一个节点往下可以到达的孩子节点或者孙子节点之间的通路,称为路径。图1中,从根节点到节点a之间的通路就是一条路径。

路径长度: 在一条路径中,没经过一个节点,路径长度就要加1。例如在一棵树中,规定根节点所在层数为1层,那么从根节点到第i层节点的路径长度为i - 1。图1中从根节点到节点c的路径长度为3。

节点的权: 给每个节点赋予一个新的值,这个值就是节点的权。例如,图1中节点a的权7,节点b的权为5。

节点的带权路径长度: 指的是根节点到该节点之间的路径长度与该节点的权的乘积。例如,图1中节点b的带权路径长度为 2 * 5 = 10

整棵树的带权路径长度为树中所有叶子节点的带权路径长度之和。通常用WPL来表示。例如图1中所示的树的带权路径长度为:

1
WPL = 7 * 1 + 5 * 2 + 2 * 3 + 4 * 3

图1 哈夫曼树

哈夫曼树应用

  1. 哈夫曼编码: 在数据通信中用来信息加密
  2. 哈夫曼译码: 如果数据通过哈夫曼编码加密,那么接收到数据之后,可以通过哈夫曼译码进行解密。
  3. 无损压缩: 可以通过哈夫曼编码对数据进行压缩

哈夫曼加密是可逆操作,加密后的密文可以通过解密还原原始数据。

哈夫曼树的构建过程

对于给定的有各自权重的n个节点,构建步骤如下:

  1. 在n个带权重的节点中,选择两个权重最小的节点,组成一棵新的二叉树,且新树的根节点权值为最小两个节点权值的和。
  2. 从n个带权重节点中删除步骤1中取出的两个节点,并且将新组成的树的根节点加入到n个带权重节点中。以此类推
  3. 重复执行步骤1和步骤2。直到构建完成一棵树。

图2 哈夫曼树构建过程

将构建好的哈夫曼树,每个节点的左子树编码为0,右子树编码为1。这样就可以实现哈夫曼编码,以及数据压缩。

图3 哈夫曼编码

如上图3所示。每个字母都会唯一对应一个编码,这样就可以实现加密

a——0

b——010

c——110

d——111

哈夫曼树代码实现

定义哈夫曼树节点结构:

1
2
3
4
5
6
7
8
9
10
11
12
13
14
15
16
17
18
19
20
21
22
23
24
25
26
27
28
29
30
31
32
33
34
35
36
37
38
39
40
41
42
43
44
45
46
47
48
/**
* 哈夫曼树节点结构
*/
public class HuffmanNode {
/** 节点数据 */
private String data;
/** 节点权重 */
private int weight;
/** 左节点 */
private HuffmanNode left;
/** 右节点 */
private HuffmanNode right;
/** 父节点,遍历会用 */
private HuffmanNode parent;

public String getData() {
return data;
}
public void setData(String data) {
this.data = data;
}
public int getWeight() {
return weight;
}
public void setWeight(int weight) {
this.weight = weight;
}
public HuffmanNode getLeft() {
return left;
}
public void setLeft(HuffmanNode left) {
this.left = left;
}
public HuffmanNode getRight() {
return right;
}
public void setRight(HuffmanNode right) {
this.right = right;
}
public HuffmanNode getParent() {
return parent;
}
public void setParent(HuffmanNode parent) {
this.parent = parent;
}

}

哈夫曼树相关操作类:

1
2
3
4
5
6
7
8
9
10
11
12
13
14
15
16
17
18
19
20
21
22
23
24
25
26
27
28
29
30
31
32
33
34
35
36
37
38
39
40
41
42
43
44
45
46
47
48
49
50
51
52
53
54
55
56
57
58
59
60
61
62
63
64
65
66
67
68
69
70
71
72
73
74
75
76
77
78
import java.util.*;

/**
* 哈夫曼树
*/
public class HuffmanTree {
/** 根节点 */
private HuffmanNode root;
/** 叶子节点,用于后期权重计算 */
private List<HuffmanNode> leafNodes;
/** 每个数据的权重映射表 */
private Map<Character, Integer> weightMapping;

public HuffmanTree(Map<Character, Integer> weightMapping) {
this.weightMapping = weightMapping;
this.leafNodes = new ArrayList<HuffmanNode>();
}

/**
* 构建哈夫曼树
*/
public void createHuffmanTree() {
Character[] keys = weightMapping.keySet().toArray(new Character[0]);
// 初始化一个优先队列
PriorityQueue<HuffmanNode> priorityQueue = new PriorityQueue<HuffmanNode>();
for (Character character : keys) {
HuffmanNode node = new HuffmanNode();
node.setData(character.toString());
node.setWeight(weightMapping.get(character));
priorityQueue.add(node);
this.leafNodes.add(node);
}
int len = priorityQueue.size();
for (int i = 1; i <= len - 1; i++) {
HuffmanNode nodeLeft = priorityQueue.poll();
HuffmanNode nodeRight = priorityQueue.poll();

HuffmanNode newNode = new HuffmanNode();
newNode.setData(nodeLeft.getData() + nodeRight.getData());
newNode.setWeight(nodeLeft.getWeight() + nodeRight.getWeight());
newNode.setLeft(nodeLeft);
newNode.setRight(nodeRight);
nodeLeft.setParent(newNode);
nodeRight.setParent(newNode);

priorityQueue.add(newNode);
}
// 弹出的就是根节点
this.root = priorityQueue.poll();
}

/**
* 对叶子节点进行编码操作
* @return 返回叶子节点编码表
*/
public Map<Character,String> encoding() {
Map<Character, String> codMapping = new HashMap<Character,String>();

for (HuffmanNode huffmanNode : this.leafNodes) {
if(huffmanNode != null) {
HuffmanNode currentNode = huffmanNode;
char cData = huffmanNode.getData().charAt(0);
String code = "";
do {
// 说明当前节点是左子树节点
if (currentNode != null && currentNode.getParent() != null && currentNode == currentNode.getParent().getLeft()) {
code = "0" + code;
} else {
code = "1" + code;
}
currentNode = currentNode.getParent();
} while(currentNode.getParent() != null); // 表示循环到根节点,停止循环
codMapping.put(cData, code);
}
}
return codMapping;
}
}

测试运行主类:

1
2
3
4
5
6
7
8
9
10
11
12
13
14
15
16
17
18
19
20
21
22
import java.util.HashMap;
import java.util.Map;

public class HuffmanTest {

public static void main(String[] args) {
Map<Character,Integer> weights = new HashMap<Character,Integer>();
weights.put('a', 3);
weights.put('b', 24);
weights.put('c', 6);
weights.put('d', 20);
weights.put('e', 34);
weights.put('f', 4);
weights.put('g', 12);
HuffmanTree huffmanTree = new HuffmanTree(weights);
// 构建哈夫曼树
huffmanTree.createHuffmanTree();
// 对哈夫曼树节点进行编码
Map<Character,String> code = huffmanTree.encoding();
System.out.println(code);
}
}
  • 版权声明: 本博客所有文章除特别声明外,著作权归作者所有。转载请注明出处!

请我喝杯咖啡吧~

支付宝
微信